Skip to content

University of Kashmir PhD Admission 2025: Eligibility, Fellowship, Entrance Test & Important Dates

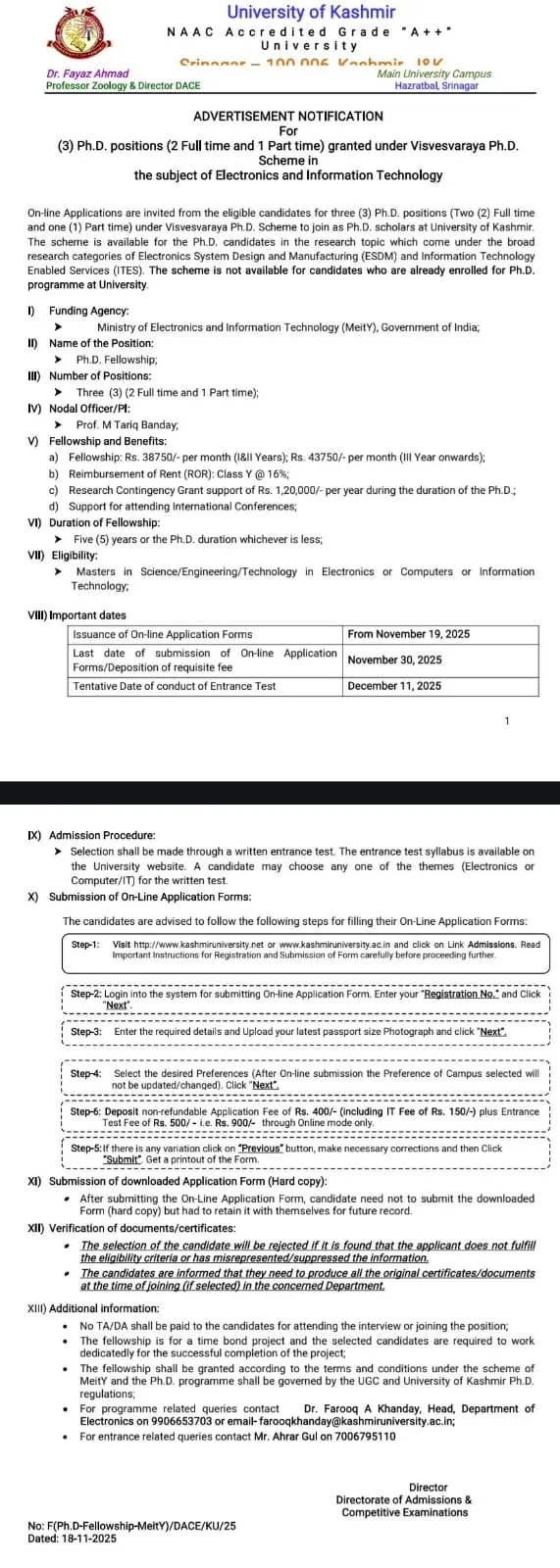
The University of Kashmir has announced the PhD Admission 2025 for multiple research program which including a prestigious fellowship-based intake under the Visvesvaraya Ph.D Scheme funded by the Ministry of Electronics and Information Technology – Government of India. This scheme provides excellent financial support to eligible research scholars and is available specifically for the discipline of Electronics & Information Technology. With the release of the latest admission notification, Kashmir University continues its commitment to developing cutting-edge research and offering opportunities that align with national academic standards. This article will provide information about a comprehensive and student-friendly explanation of the admission process, seats, eligibility, entrance schedule and steps for submitting the online form.

Overview of Kashmir University PhD Admissions 2025

Kashmir University announces PhD admissions periodically based on departmental vacancies, fellowship availability, and recognized research requirements. Candidates are generally shortlisted through a university-level entrance examination, followed by document verification and interview/DRC procedures.

For 2025, one of the most valuable opportunities comes under the:

Visvesvaraya Ph.D Scheme (Electronics & IT Discipline)

Funded by the Ministry of Electronics & IT (MeitY), this scheme is targeted at research fields such as:

  • Electronics System Design & Manufacturing (ESDM)
  • Information Technology Enabled Services (ITES)

This scheme is not available to candidates already enrolled in a PhD program at KU, ensuring fresh and transparent intake.

PhD Positions Available (Electronics & IT Discipline)

Under the Visvesvaraya scheme, Kashmir University has announced:

CategorySeats
Full-Time Positions02 vacancies
Part-Time Positions01 vacancies
Total03 vacancies

Fellowship & Financial Support

Selected scholars will receive an attractive fellowship package, making it one of the most rewarding research opportunities in the UT.

Fellowship ComponentAmount
Fellowship for I & II Year (Full-Time)Rs 38,750/month
Fellowship for III Year (Full-Time)Rs 43,750/month
Rent Reimbursement (GOR/ROR Category)As per Govt. norms
Research GrantRs 1,20,000 per year
Support for International ConferencesAvailable

These benefits significantly ease the financial burden on research scholars, encouraging high-quality academic work.

Eligibility Criteria for KU PhD Admission 2025

For the Visvesvaraya Ph.D Scheme in Electronics & IT, the minimum eligibility is:

Educational Qualification

A candidate must hold a Master’s degree in following programs:

  1. Electronics
  2. Computer Science
  3. Computer Engineering
  4. Information Technology
  5. OR any related stream in Science/Engineering/Technology

Other Conditions

  1. Already enrolled PhD scholars at KU cannot apply.
  2. Final selection is based purely on written entrance performance and subsequent verification.
  3. Candidate must satisfy all eligibility conditions at the time of joining.

Important Dates for Kashmir University PhD Admission 2025

EventDate
Issuance of Online Application Forms19 of November 2025
Last Date for Online Form Submission & Fee30 of November 2025
Tentative Entrance Test Date11 of December 2025

Candidates are advised to fill the form early to avoid last-minute server issues.

Admission Process (Entrance Based)

Kashmir University follows a structured admission system for PhD candidates:

1. Entrance Test

  • The written test assesses research aptitude and subject knowledge.
  • Syllabus is available on Kashmir University’s official website.
  • Candidates may choose one theme for the test:
    • Electronics
    • Computer/IT

2. Merit-Based Shortlisting

Candidates scoring above the cut-off will be shortlisted for the next stage.

3. Document Verification

Shortlisted candidates must produce all original certificates.

4. Final Selection

The Directorate of Admissions finalizes the list based on test performance and document accuracy.

Step-by-Step Process to Submit Online Application (KU PhD 2025)

  1. Visit the Official Website at www.kashmiruniversity.net or www.kashmiruniversity.ac.in
  2. Click on Admissions then on PhD Admissions on home page.
  3. Login or Register after Entering your Registration Number and password to proceed.
  4. Fill the Online Form Enter all academic and personal details carefully then Upload a recent passport-size photograph.
  5. Select Research Preferences Choose preference options.
  6. Pay the Application Fee of rs 900.
  7. Final submit your application form and make printout of application form for future use.

Verification of Documents (Mandatory)

At the time of joining, selected candidates must present:

  1. Master’s Degree & Marks Sheets
  2. Category Certificate (if applicable)
  3. Domicile Certificate
  4. Experience Certificates (if applicable)
  5. Proof of eligibility fulfillment
  6. Any document prescribed by departmental DRC

Candidates who misrepresent information will be disqualified.

Important Instructions for Applicants

  1. No TA/DA will be provided for interviews or joining.
  2. Fellowship holders must follow MeitY and KU rules strictly.
  3. PhD scholars will work on funded research topics only.
  4. The University holds the right to amend or reject applications without notice.

Important Links

Leave a Reply

Your email address will not be published. Required fields are marked *